MENU
HOME
NEWS
BMC TOURNAMENT
SCHEDULE
RANKING
SPONSORS
REPORT
HOME
NEWS
BMC TOURNAMENT
SCHEDULE
RANKING
SPONSORS
REPORT
ホーム
ranking
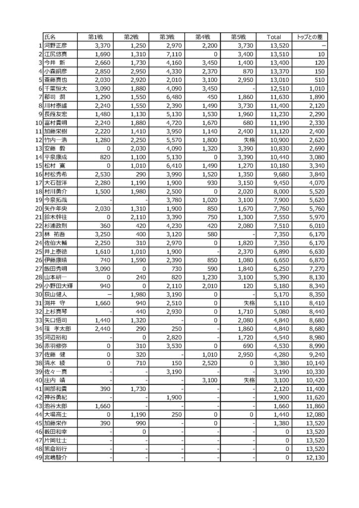
2024 BMCレギュラートーナメント年間暫定ランキング(ボーター)
2024 BMCレギュラートーナメント年間暫定ランキング(ボーター)
2024
9/21
ranking
NEWS
ranking
NEWS
閉じる
目次
閉じる