MENU
HOME
NEWS
BMC TOURNAMENT
SCHEDULE
RANKING
SPONSORS
REPORT
HOME
NEWS
BMC TOURNAMENT
SCHEDULE
RANKING
SPONSORS
REPORT
ホーム
ranking
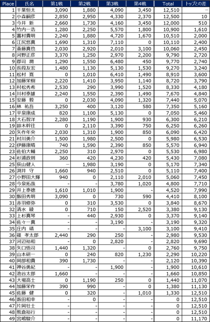
2024BMC年間ランキング Boaters
2024BMC年間ランキング Boaters
2024
9/03
ranking
ranking
閉じる
目次
閉じる